| 产品名称: | 水溶性辣椒红素 | |
| 产品类别: | 标准化植物提取物 | ||
| 产品用途: | 出口及研发 | ||
| 点击次数: | 3963 | ||
| 发布时间: | 2016-10-27 | ||
| 产品介绍 | |||
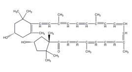
天然辣椒红 Capsanthin 【分子式及分子量】 C40H56O3 584.87 【结 构 式】
声明:
| |||



产品中心 PRODUCT CENTER
| 产品名称: | 水溶性辣椒红素 | |
| 产品类别: | 标准化植物提取物 | ||
| 产品用途: | 出口及研发 | ||
| 点击次数: | 3963 | ||
| 发布时间: | 2016-10-27 | ||
| 产品介绍 | |||
天然辣椒红 Capsanthin 【分子式及分子量】 C40H56O3 584.87 【结 构 式】
声明:
| |||
|
关于我们
|
产品展示
|
产品索引
|
客户服务*支持
|
相关网站
|